威尼斯人app
中国政府网
广东省人民政府门户网站
广州市人民政府门户网站
南海区政府网站
简体
繁體
EN
无障碍版
用户空间
登录
要闻动态
政务公开
政务服务
政民互动
营商环境
走进威尼斯人app
威尼斯人app数据
当前位置:
首页
>
政务公开
>
重点领域信息公开
>
财政资金信息公开
>
财政预决算
>
决算
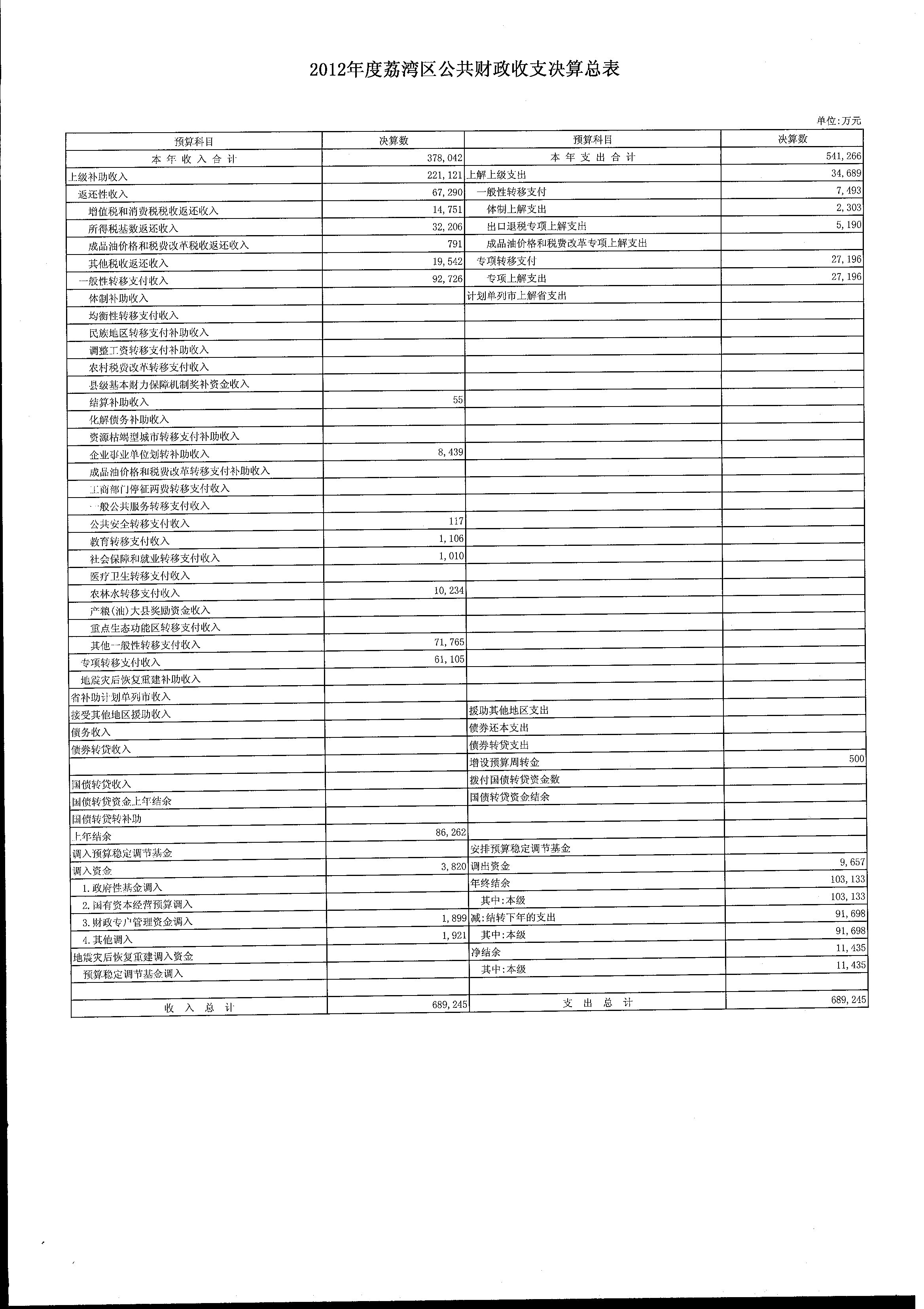
威尼斯人app2012年度财政决算(草案)的报告
发布时间: 2013-11-26
来源: 本网
浏览次数:
-
次
【打印】
【字体:
大
中
小
】
分享到:
扫一扫在手机打开当前页
-
威尼斯人app网站